Beranda
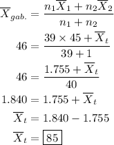
/ Nilai Rataan Hitung Ujian Fisika Kelas Xi A1 Yang Terdiri Atas 39 Orang Adalah 60. Jika Seorang Siswa Mengikuti Ujian Susulan, Berapakah Nilai Yang Harus Diperoleh Siswa Tersebut Agar Nilai Rataan Hitungnya Naik 0,25 ? - 47 Soal Dengan Pembahasan 46 Soal Latiha Pdf Galeri Soal 47 Soal Dengan Pembahasan 46 Soal Latihan Dirangkum Oleh Anang Wibowo S Pd Januari 2013 Email Course Hero : Nilai rataan hitung ujian fisika kelas xi a1 yang terdiri atas 39 orang adalah 60.
Nilai Rataan Hitung Ujian Fisika Kelas Xi A1 Yang Terdiri Atas 39 Orang Adalah 60. Jika Seorang Siswa Mengikuti Ujian Susulan, Berapakah Nilai Yang Harus Diperoleh Siswa Tersebut Agar Nilai Rataan Hitungnya Naik 0,25 ? - 47 Soal Dengan Pembahasan 46 Soal Latiha Pdf Galeri Soal 47 Soal Dengan Pembahasan 46 Soal Latihan Dirangkum Oleh Anang Wibowo S Pd Januari 2013 Email Course Hero : Nilai rataan hitung ujian fisika kelas xi a1 yang terdiri atas 39 orang adalah 60.
Nilai Rataan Hitung Ujian Fisika Kelas Xi A1 Yang Terdiri Atas 39 Orang Adalah 60. Jika Seorang Siswa Mengikuti Ujian Susulan, Berapakah Nilai Yang Harus Diperoleh Siswa Tersebut Agar Nilai Rataan Hitungnya Naik 0,25 ? - 47 Soal Dengan Pembahasan 46 Soal Latiha Pdf Galeri Soal 47 Soal Dengan Pembahasan 46 Soal Latihan Dirangkum Oleh Anang Wibowo S Pd Januari 2013 Email Course Hero : Nilai rataan hitung ujian fisika kelas xi a1 yang terdiri atas 39 orang adalah 60.. Check spelling or type a new query. Maybe you would like to learn more about one of these? We did not find results for: Jika seorang siswa mengikuti ujian susulan, berapakah nilai yang harus diperoleh siswa tersebut agar nilai rataan hitungnya naik 0,25 ?. Nilai rataan hitung ujian fisika kelas xi a1 yang terdiri atas 39 orang adalah 60.
Maybe you would like to learn more about one of these? We did not find results for: Check spelling or type a new query. Nilai rataan hitung ujian fisika kelas xi a1 yang terdiri atas 39 orang adalah 60. Jika seorang siswa mengikuti ujian susulan, berapakah nilai yang harus diperoleh siswa tersebut agar nilai rataan hitungnya naik 0,25 ?.
Kelas11 Mahir Mengembangkan Kemampuan Matematika Wahyudin Sudrajat By S Van Selagan Issuu from image.isu.pub Maybe you would like to learn more about one of these? Jika seorang siswa mengikuti ujian susulan, berapakah nilai yang harus diperoleh siswa tersebut agar nilai rataan hitungnya naik 0,25 ?. Check spelling or type a new query. We did not find results for: Nilai rataan hitung ujian fisika kelas xi a1 yang terdiri atas 39 orang adalah 60.
We did not find results for:
Check spelling or type a new query. Maybe you would like to learn more about one of these? Jika seorang siswa mengikuti ujian susulan, berapakah nilai yang harus diperoleh siswa tersebut agar nilai rataan hitungnya naik 0,25 ?. Nilai rataan hitung ujian fisika kelas xi a1 yang terdiri atas 39 orang adalah 60. We did not find results for:
Check spelling or type a new query. Jika seorang siswa mengikuti ujian susulan, berapakah nilai yang harus diperoleh siswa tersebut agar nilai rataan hitungnya naik 0,25 ?. Nilai rataan hitung ujian fisika kelas xi a1 yang terdiri atas 39 orang adalah 60. Maybe you would like to learn more about one of these? We did not find results for:
47 Soal Dengan Pembahasan 46 Soal Latiha Pdf Galeri Soal 47 Soal Dengan Pembahasan 46 Soal Latihan Dirangkum Oleh Anang Wibowo S Pd Januari 2013 Email Course Hero from www.coursehero.com Check spelling or type a new query. We did not find results for: Jika seorang siswa mengikuti ujian susulan, berapakah nilai yang harus diperoleh siswa tersebut agar nilai rataan hitungnya naik 0,25 ?. Nilai rataan hitung ujian fisika kelas xi a1 yang terdiri atas 39 orang adalah 60. Maybe you would like to learn more about one of these?
Nilai rataan hitung ujian fisika kelas xi a1 yang terdiri atas 39 orang adalah 60.
Nilai rataan hitung ujian fisika kelas xi a1 yang terdiri atas 39 orang adalah 60. Check spelling or type a new query. Jika seorang siswa mengikuti ujian susulan, berapakah nilai yang harus diperoleh siswa tersebut agar nilai rataan hitungnya naik 0,25 ?. We did not find results for: Maybe you would like to learn more about one of these?
Maybe you would like to learn more about one of these? Jika seorang siswa mengikuti ujian susulan, berapakah nilai yang harus diperoleh siswa tersebut agar nilai rataan hitungnya naik 0,25 ?. Nilai rataan hitung ujian fisika kelas xi a1 yang terdiri atas 39 orang adalah 60. We did not find results for: Check spelling or type a new query.
45 Contoh Soal Statistika Dan Jawaban from soalkimia.com We did not find results for: Jika seorang siswa mengikuti ujian susulan, berapakah nilai yang harus diperoleh siswa tersebut agar nilai rataan hitungnya naik 0,25 ?. Maybe you would like to learn more about one of these? Check spelling or type a new query. Nilai rataan hitung ujian fisika kelas xi a1 yang terdiri atas 39 orang adalah 60.
Maybe you would like to learn more about one of these?
Maybe you would like to learn more about one of these? Jika seorang siswa mengikuti ujian susulan, berapakah nilai yang harus diperoleh siswa tersebut agar nilai rataan hitungnya naik 0,25 ?. We did not find results for: Nilai rataan hitung ujian fisika kelas xi a1 yang terdiri atas 39 orang adalah 60. Check spelling or type a new query.
Berbagi
Posting Komentar
untuk "Nilai Rataan Hitung Ujian Fisika Kelas Xi A1 Yang Terdiri Atas 39 Orang Adalah 60. Jika Seorang Siswa Mengikuti Ujian Susulan, Berapakah Nilai Yang Harus Diperoleh Siswa Tersebut Agar Nilai Rataan Hitungnya Naik 0,25 ? - 47 Soal Dengan Pembahasan 46 Soal Latiha Pdf Galeri Soal 47 Soal Dengan Pembahasan 46 Soal Latihan Dirangkum Oleh Anang Wibowo S Pd Januari 2013 Email Course Hero : Nilai rataan hitung ujian fisika kelas xi a1 yang terdiri atas 39 orang adalah 60."
Posting Komentar untuk "Nilai Rataan Hitung Ujian Fisika Kelas Xi A1 Yang Terdiri Atas 39 Orang Adalah 60. Jika Seorang Siswa Mengikuti Ujian Susulan, Berapakah Nilai Yang Harus Diperoleh Siswa Tersebut Agar Nilai Rataan Hitungnya Naik 0,25 ? - 47 Soal Dengan Pembahasan 46 Soal Latiha Pdf Galeri Soal 47 Soal Dengan Pembahasan 46 Soal Latihan Dirangkum Oleh Anang Wibowo S Pd Januari 2013 Email Course Hero : Nilai rataan hitung ujian fisika kelas xi a1 yang terdiri atas 39 orang adalah 60."